Project Description:
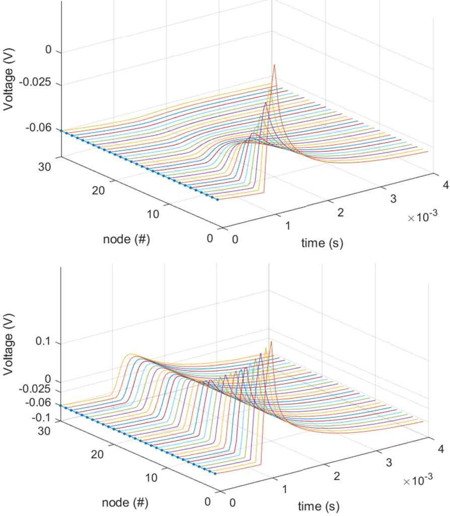
The usage of modeling can lead to significant discoveries as it makes it possible to do things that were historically quite lengthy, challenging and oftentimes required a ‘trial and error’ approach. Through this graduate-level course, I learned the tools and fundamental skills of modeling the nervous system and its sub-structures. The usage of modeling and simulations in the neurophysiology field can allow engineers and scientists to analyze and understand the specific mechanisms and behaviors at play on a scale that cannot otherwise be seen with modern technology. While this can be a great tool for understanding these mechanisms, validating the results from models and simulations can sometimes be problematic. The project assigned in this class tasked us with using modeling and simulations to probe new areas and answer new questions in the field. I decided to focus my skills in developing simulations to understand the effects of demyelinating diseases on the nervous system and to identify methods for reversing the effects of these diseases. This project was an individual effort.

University:
University of Illinois at Chicago
Program:
Ph.D. in Biomedical Engineering
Course:
BME 472: Models of the Nervous System
Experience Level:
Ph.D. Year 1
Project Duration:
3 Months




Chicago, IL